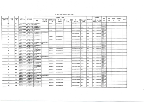
盘龙区行政处罚信息公示表
发布时间:2016-06-02 09:45
字号:[
大
中
小
]






