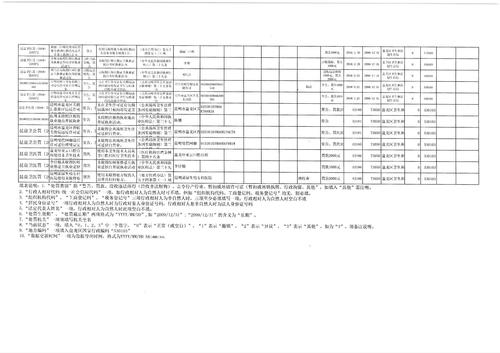
2018年3月盘龙区行政处罚信息公示表
发布时间:2018-04-20 14:40
字号:[
大
中
小
]





